I was gonna give us all the day off today, honestly, I was! My Minnesota Twins start their second game in about an hour, and I really planned to just kick back, watch the game, have a couple of beers, and enjoy the day. And since tomorrow’s March wrap-up post is done and queued, more of the same tomorrow.
But this is too relevant to the posts just posted, and it’s about Special Relativity, which is a March thing to me (because Einstein), so it kinda has to go here. Now or never, so to speak. And it’ll be brief, I think. Just one more reason I’m so taken with matrix math recently; it’s providing all kinds of answers for me.
Last night I realized how to use matrix transforms on spacetime diagrams!
Yeah, okay, I know. I’m easily (and very weirdly) amused, but so it goes.
I’ll try to be as brief as possible.
§
This is about matrix transformation, which I sketched out in the previous posts, but as a quick overview (so this post will make some sense), a matrix is just a bunch of numbers in rows and columns. They’re a way to deal with multiple numbers related to a single concept.
In this case, the single concept is transforming a (2D) space in a linear way. That means changing the “grid lines” such that they remain parallel and centered. Changes include rotations, skews, proportional size changes, and combinations of those.
We look at a (2D) transformation matrix, which has two rows and two columns, as containing two x-y points (vectors, actually) arranged in the two vertical columns:

We call them i-hat (red, left) and j-hat (blue, right). They describe how the space is transformed.
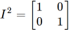
Essentially, we imagine they start off at x=1 and y=1, respectively, and the actual numbers in the matrix describe where they go (transform).
The identity matrix, is the imagined initial position of i-hat and j-hat (actually using these values would result in no change to the space):

Any other numbers represent a transformation of some kind.
§
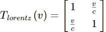
So it occurred to me matrix transforms might be useful in spacetime diagrams, which are exactly about skewed space.
There was an obvious version that enabled drawing a space skewed by relative motion, but I came to realize that, while it made the lines at the correct angle, it didn’t generate the right mathematics.
Specifically, it didn’t regard the spacetime interval.
That version looked like this:

Which, as I said, gets the angles correct.
Note that, at v=0, it would be the identity matrix, which is what we’d expect. At zero velocity, there is no transform.
It gets the grid line angles right because it simply moves i-hat and j-hat according to v/c.
Essentially, it captures where the grid lines cross their respective unit line.
§
The correct version looks like this:

Which is a little more complicated, but it actually makes perfect sense.
Retrospectively, it’s obvious gamma (γ) would need to be a part of this. We’re describing the skewing of spacetime by the gamma factor.
For example, if velocity is 0.5c, we have:

Which then reduces to:

As a check, i-hat, the transformed spatial vector, should have an interval of +1:

And j-hat, the transformed time vector, should have an interval of -1:

Which they do!
In fact, the way it’s set up guarantees:

(I’ll let you do the math to prove it. 😁)
§
Here’s an illustration of the difference. The first version of my “Lorentz” matrix gives us a transform that shifts space like the diagram below:

Matrix 1. Wrong! Blue world line crosses diamond on the unit square.
The length of the blue world line from the center to the point it crosses the diamond is too short. It is not the spacetime interval.
The new version of the matrix gives us this transform:

Matrix 2. Right! Now the spacetime interval is respected!
The difference is subtle but important. Now the blue line crosses the diamond at the correct point. The distance is the spacetime interval of -1.
§
As a mathematical aside, another way to see there is a problem is that the determinant of the first matrix is 0.75 when it needs to be one. In the second matrix, it is!
The determinant is an example of how poorly matrices are often explained to math students. If you learned about it, you probably learned the formula:

But you may never have been told what the determinant is.
It’s the change in the area of the parallelogram formed by i-hat and j-hat.
If the determinant is one, as in rotations, for instance, the transformation does not change the size of things. If the determinant is less than one, the transformation scales down, if it’s greater the transformation scales up.
Lorentz shifts do not change the scale! Length appears foreshortened along the line of travel to observers, but to those in motion, everything looks normal.
So, a Lorentz shift matrix must have a determinant of 1.0!
(Which the correct version does.)
§
Now the math all works, and the diagrams are exactly right now. Yay!
One more little mystery solved! All that’s left are the pretty pictures.
Here’s the Lorentz shift applied for different velocities. It’s interesting to see how much space shifts at higher speeds.

Lorentz 1. Velocity = 0.0 c.
The diagram above shows no shift (velocity is zero). Our friends, i-hat (small red line) and j-hat (small blue line) are shown in center.
Several spacetime events (black dots) take place in the shifted frame and show how velocity alters simultaneity.
The spacetime interval lines for +1 (red) and -1 (blue) are also shown.
Note how the ends of i-hat and j-hat follow the lines. That’s the whole point here!

Lorentz 2. Velocity = 0.25 c.

Lorentz 3. Velocity = 0.5 c.

Lorentz 4. Velocity = 0.75 c.

Lorentz 5. Velocity = 0.9 c.
That’s a whole lotta shifting! See how long i-hat and j-hat have gotten!
And check out where those spacetime events have gotten to (compared to the original space).
At c, the green grid collapses to a line, the lightspeed line that light takes.
§
Stay relative, my friends!













And what do you think?