
Graph of ax2 for diff a values.
(green < 1; blue = 1; red > 1)
This is a little detour before the main event. The first post of this series, which explained why the imaginary unit, i, is important to math, was long enough; I didn’t want to make it longer. However, there is a simple visual way of illustrating exactly why it seems, at least initially, that the original premise isn’t right.
There is also a visual way to illustrate the solution, but it requires four dimensions to display. Three dimensions can get us there if we use some creative color shading, but we’re still stuck displaying it on a two-dimensional screen, so it’ll take a little imagination on our part.
And while the solution might not be super obvious, the problem sure is.
Let’s review the original premise. It involves equations like this:

The premise is that — so long as a isn’t zero — there is always some value for x that satisfies the equation (makes it true) no matter what a and b are.
§
Let’s start by simplifying things down to the basics. If we set a=+1 and b=0, then we’re reduced to just x (squared):

And, of course, if x=0, then the equation is satisfied.
We see this visually by looking at a graph for that equation. It traces out a parabola (in fact, “x-squared” is one definition of a parabola):

We can see that the curve touches the x-axis at x=0. This is the point where the equation is equal to zero.
What the premise is essentially saying is that all polynomial curves touch the x-axis at some point. There is always some point along x where the equation is equal to zero. (In some cases, as you’ll see next, multiple points.)
§
Let’s look at the curve for another example. Let’s leave a=+1 but set b=-1.
Then we get:

If we graph that equation, we get:

As you see, setting b=-1 moved the parabola down one unit. Whereas before the curve just kissed the x-axis at 0, now it crosses the axis at -1 and +1.
Sure enough, the values x=-1 and x=+1 satisfy the equation.
Setting b to a negative value pulls the parabola down, which guarantees the curve crosses the x-axis. Twice.
Changing the value of a just makes the parabola narrower (if a is greater than 1.0) or wider (if a is smaller than 1.0). The six curves in the graph at the top of this post illustrate this.
The point is, changing the value of a doesn’t shift the parabola up or down. Only the value of b does that.
By the way: In the first post, I set b=-4, which pulls the parabola down four units.
In that case, the solution is x=-2 and x=+2.
That’s where that curve crosses the x-axis when we pull it down that far.
I used 4 that time because it’s the square of 2. (I wanted a whole number answer.) To have the curve cross the x-axis at ±3, we would set b=-9.
The relationship is pretty obvious. The distance from the vertical center of the parabola to where it crosses the x-axis is the square root of the distance the parabola reaches below the x-axis.
I used b=-1 in this post to keep the curve closer to “home” (the origin). Here the distance from the center is 1, which is the square root of 1, the distance the parabola reaches below the x-axis.
§
Finally, let’s look at what happens if we (still leaving a=+1) set b=+1.
Now we have:

If you recall, we ran into trouble when both a and b were positive (the same trouble arises if both are negative).
Based on what we’ve seen about the value of b, we might imagine this pulls the curve upwards. Now the graph looks like this:

And it doesn’t appear to touch the x-axis anywhere!
This, then, is the visual representation of the trouble we ran into before. It initially seemed there is no value of x that satisfies the equation. Here it seems the line never touches the x-axis.
It’s the same situation seen two different ways.
(I again used +1 here rather than +4 to keep the curve close to the center. Had I used +4, the lowest part of the curve would have been way up at +4.)
§ §
This is the point where i steps in to save the day. By moving our parabola into the domain of complex numbers, we can satisfy the equation.
If you recall, for the equation with b=+4, the solution was x=2i, which, when squared, gave us the -4 we needed. In this case the solution is x=i, which — of course — when squared gives is the -1 we need here.
The problem illustrating this visually is that it requires four dimensions.
The graphs above show the behavior of the real numbers, which are embedded in the complex numbers (as the real number line — the x-axis itself).
The graphs can show both the input (on the x-axis) and output (on the y-axis). That’s the advantage of those graphs — visualizing how the output changes with different inputs.
If we expand our scope to the complex numbers, then in an equation like:
y = function(x)
Both the input, x, and the output, y, are complex numbers — both have two parts. If we see the two-dimensional graphs above as showing the real parts, then we have two imaginary parts not being displayed.
We can use three-dimensional rendering to display one of those as the z-axis, but that still leaves one we can’t display.
§
We can sneak up on the problem by looking at this table of results:
| x | -2i | -1i | 0i | 1i | 2i |
|---|---|---|---|---|---|
| -5.0 | +21, +20i | +24, +10i | +25, +0i | +24, -10i | +21, -20i |
| -4.0 | +12, +16i | +15, +8i | +16, +0i | +15, -8i | +12, -16i |
| -3.0 | +5, +12i | +8, +6i | +9, +0i | +8, -6i | +5, -12i |
| -2.0 | +0, +8i | +3, +4i | +4, +0i | +3, -4i | +0, -8i |
| -1.0 | -3, +4i | +0, +2i | +1, +0i | +0, -2i | -3, -4i |
| 0.0 | -4, +0i | -1, +0i | +0, +0i | -1, +0i | -4, +0i |
| +1.0 | -3, -4i | +0, -2i | +1, +0i | +0, +2i | -3, +4i |
| +2.0 | +0, -8i | +3, -4i | +4, +0i | +3, +4i | +0, +8i |
| +3.0 | +5, -12i | +8, -6i | +9, +0i | +8, +6i | +5, +12i |
| +4.0 | +12, -16i | +15, -8i | +16, +0i | +15, +8i | +12, +16i |
| +5.0 | +21, -20i | +24, -10i | +25, +0i | +24, +10i | +21, +20i |
The table shows the result of x-squared for integer values of x from -5 to +5 (the rows) and integer values of yi from -2i to +2i (the columns). The green row is where x=0.
The situation we’ve been considering is essentially the blue column down the middle — where yi=0, on the real number line.
In that column, yi is always zero in the result, because we’re operating strictly on the real number line. The real value, as expected, is x-squared.
In the other columns, the squaring behavior of the real part is the same but notice how the x values move downwards by the square of yi. It’s very much like when we set b to -1 or -4, respectively.
What’s different is that +yi and -yi both move the curve downwards, whereas setting b to a positive number moves the curve upwards.
The more crucial change is what happens to the imaginary part of the result. It’s only zero when x=0, but otherwise it increases — or decreases — proportionally with x. How much it changes with x depends on how large yi is.
§
That got a bit complicated and what do all those numbers mean, anyway?
Visually, as yi gets larger, both positively and negatively, two things happen:
Firstly, the curve is pulled downwards on the y-axis. The amount it moves is the square of yi.
Secondly, the parabolic curve, which used to lie completely in the 2D plane of the real numbers, starts to twist. The part of the curve with positive x goes one way (up or down into the third dimension) while part of the curve with negative x goes the other way.
The curve itself remains flat, but it twists like a propeller. The direction of twist depends on whether (result) yi is positive or negative.
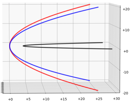
Here’s one way we can try to render this:

The plot above shows three parabolic curves, each with different imaginary values for input. The black curve is (x, 0i), the blue one is (x, +2i), and the red one is (x, -2i).
The vertical z-axis is the imaginary value (yi) of the result (the second value in the table data — the first value, the real part, is the y-axis).
Note how the blue curve starts down at -20 for x=-5, rises to x=0 where it crosses the red curve, and continues to rise to +20 for x=+5. That’s the same behavior as in the right-most column of the table above.
The red curve does the opposite and matches the left-most column of the table. The middle level, where the black curve floats, is where (output) yi=0, which is what we’d expect with input yi=0.
These curves, by the way, are for the original equation from the first post:

The blue and red curves above use +2i and -2i, respectively, which are the values that satisfy the equation.
What’s going on is a little more apparent when viewed from above:

Here we can see how the black curve never reaches below +4. Without complex numbers there is no solution.
But the blue and red curves are pulled downwards. In fact they touch the x-axis illustrating that, at least in complex space, there is a solution.
We can also view the plot from the side:

This view shows how the blue and red curves twist. The plane containing the black curve is the real number xy plane.
§
I’ll leave you with one more 3D graph. This one plots curves for multiple values of yi (more than the five shown on the table above):

It shows how i twists the curve into complex space and pulls it down the y-axis.
The curves are black when i is zero or very low. They turn blue as i increases in the positive direction and red as it increases in the negative direction.
Stay parabolic, my friends!
∇













March 25th, 2020 at 9:19 am
There is a way to graph this that doesn’t require color for one dimension. We can use two 2D graphs, each of the complex plane. The first has the input points to the function, the second has the output points. In both cases the points are complex numbers with two parts. Using two graphs allows plotting all four components.
I’ll try to create an example to show you, but I’m first going to have to figure out how to create it with the tools I have.
March 26th, 2020 at 12:24 pm
I’m tempted to do it by hand, but I draw pretty crappy curves. (I can almost manage to draw a semi-straight line… on grid paper. 😀 )
March 28th, 2020 at 2:57 pm
So here is a dual 2D graph version:
[click for big]
The small graph in the upper left is the input, the large graph is the output of the complex function x-squared (where x is a complex number). Any complex number is a point on the complex plane, so the input graph shows the complex numbers that are inputs to the function. The output graph shows the complex numbers that are the results.
The black dots on the input’s x-axis, the horizontal black dots, are the real number line inputs to x-squared — the traditional inputs from -4 through 0 to +4. Here the imaginary part is set to zero. The outputs are the black dots on the positive x-axis of the large graph. Any real number squared, is some positive number.
The red dots show the result when the imaginary part is non-zero. On the input graph, these are the five red lines and their blue dots. Each line is an increment of 0.5, so we’re graphing what happens with the imaginary part set to: +0.5, +1.0, +1.5, +2.0, and +2.5. On the large graph, these are these curves start near the x-axis (for yi=+0.5) and expand larger and away as the imaginary part grows.
The blue dots show where the real part of the input was an integer: x=-4, -3, -2, -1, 0, +1, +2, +3, and +4. The blue dots above the line are positive x; the ones below are negative x. The black dots on the negative x-axis are where x=0. The smaller blue curve on the left is x=±1, the broad one on the right is x=±4.
March 28th, 2020 at 3:16 pm
BTW: Using negative values for the imaginary part of the input results in the same set of curves, but reflected on the x-axis.
Which makes perfect sense, since the inputs are also a reflection on the x-axis.
January 14th, 2023 at 3:09 pm
[…] “Imaginary” Parabola (2020, 126) […]
August 15th, 2023 at 3:12 pm
[…] “Imaginary” Parabola (326): Yet another post that’s become more popular over time. As seems often the case, the popularity with this post doesn’t seem to translate to the other posts in the series it’s part of. (“Imaginary” Numbers is before this one, and The Complex Plane and The Heart of the Mandelbrot is after it.) Once again, I suspect people are attracted to the images. (You’re welcome.) […]
January 16th, 2024 at 4:50 pm
[…] of the four posts, it was the supplemental post, Imaginary Parabola, that went on to attract the most views: 405 total (ranking #51 overall) with increases each year […]
January 17th, 2024 at 4:01 pm
[…] “Imaginary” Parabola (142) […]
April 18th, 2024 at 5:51 pm
[…] these are new to you, I recommend my “Imaginary” Numbers, “Imaginary” Parabola, and The Complex Plane posts (or the Wikipedia pages linked in the previous paragraph). From this […]
July 4th, 2024 at 6:09 pm
[…] “Imaginary” Parabola (88) […]
February 12th, 2025 at 2:03 pm
[…] last post I’ll mention in this section, ranked at #22 in 2024 (and #42 overall), is my “Imaginary” Parabola post from […]
July 4th, 2025 at 8:27 pm
[…] example, my post “Imaginary” Parabola appears in WordPress CSV files downloaded today as [“””Imaginary” […]